Генераторы
sale - Бензиновые генераторы
- Газобензиновые генераторы
- Дизельные генераторы
- Инверторные генераторы
- Дизельные электростанции
Смотреть все
Аккумуляторы
- Аккумуляторы гелевые (GEL)
- Аккумуляторы мультигелевые (AGM)
- Аккумуляторные батареи LiFePO4
- Аккумуляторы свинцово-кислотные (AGM)
- Зарядные устройства для АКБ
Смотреть все
Источники бесперебойного питания
- ИБП для роутеров
- ИБП с правильной синусоидой
- ИБП линейно-интерактивные
- ИБП Smart Online
Мобильные солнечные зарядки, электростанции
- Портативные зарядные станции
- Портативные солнечные панели
Смотреть все категории
Стальные радиаторы
Наличными | Наложенный платеж | LiqPay | MonoPay | VISA/Mastercard | Мгновенная рассрочка Оплата частями ПриватБанка | Покупка по частям Monobank | Безналично с НДС и без НДС
Новая Почта | Meest | Укрпочта | Delivery | Доставка по адресу
*крупногабаритные товары присылаются после частичной предоплаты
Обмен и возврат товара осуществляется в течение 14 дней после покупки согласно закону Украины "О защите прав потребителей"
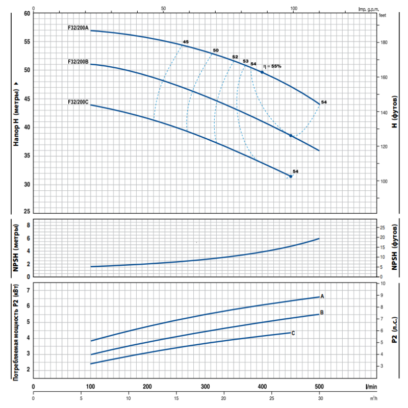
Pedrollo F 32/200B – это консольно-моноблочный центробежный насос. Области применения разнообразны: сельское хозяйство, промышленное производство, коммунальные и теплоснабжающие организации. Насосы могут увеличивать давление, обеспечивать водоснабжение, орошение, пожаротушение. Оборудование поддерживает стабильную циркуляцию воды в системах холодоснабжения и отопления.
| Максимальное давление в корпусе насоса. | 10 |
| Перекачивающая жидкость | Чистая вода |
| Режим работы | Непрерывная работа S1 |
| Рабочее колесо | Латунь |
| Мощность, Вт | 5500 |
| Максимальный напор, м | 51 |
| Подача (производительность), м³/ч | 30 |
| Манометрическая высота всасывания, м | 7 |
| Способ установки насоса | Поверхностный |
| Тип насоса | Центробежный |
| Диаметр всасывающего патрубка, " | 2 |
| Диаметр напорного патрубка, | 1¼ |
| Гарантийный срок, мисс | 12 |
| Класс защиты | IPX5D |
| Минимальная температура окружающей среды, °C | -10 |
| Минимальная температура рабочей жидкости, °C | -10 |
| Максимальная температура окружающей среды, °C | 40 |
| Максимальная температура перекачиваемой жидкости ° C | 90 |
| Материал корпуса | Чугун |
| Напряжение сети, В | 380~400 В |
| Тип ротора | Сухой |
| Частота тока, Гц | 50 |
| Качество воды | Чистая |
| Вес, кг | 48.4 |

| Гарантийный срок | 12 месяцев | |
Я принимаю пользовательское соглашения




